Home    About us   Contact us   Products
Home About us Product Honors About REACH Contact Us 简体中文

      Place: Home  Water Treatment chemicals

 
   
  Productlist
Phosphonates Antiscalants, Corrosion Inhibitors and Chelating Agents
Salts of Phosphonates
Polycarboxylic antiscalant and dispersant
Biodegradable antiscalant and dispersant
Biocide and Algicide
Built Scale & Corrosion Inhibitors and Pretreatment Filming Agents
Corrosion Inhibitor
Oxygen Scavenger
Reverse Osmosis Chemicals
Other
   Contact Us

Shandong Taihe Chemicals Co., Ltd.
TEL:  +86-632-5113066
FAX:  +86-632-5112055
E-mail: info@thwater.net
Web: http://www.taihechem.net
          http://www.thwater.net
ADD: No.1, Shiliquan East Road, Shizhong District, Zaozhuang City, Shandong Province, P.R.China

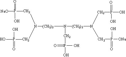
Sodium salt of Diethylene Triamine Penta (Methylene Phosphonic Acid) (DTPMP•Na2)

CAS No.  22042-96-2

Molecular formula: C9H26O15N3P5Na2

Structural Formula:

 

Properties and usage:

DTPMP•Na2 is a scale inhibitor, for barium sulphate in particular and a chelating agent. DTPMP•Na2 can be used as stabilizer for peroxide bleaching, detergent auxiliaries, in industrial & municipal cleaning water, terrestrial heat water, oilfield water, etc.

Specification:

Items Index
Appearance Umber transparent liquid
Active content(DTPMPA)% 45.0-49.0
Total phosphoric acid (PO43-)% 37.0-40.0
Chloride (as Cl-) % 5.0 max
Fe, mg/L 20.0 max
PH (1% water solution) 2.0-3.0
Density (20℃) g/cm3 1.37-1.47

Package and Storage:

200L plastic drum, IBC(1000L),customers' requirement. Storage for ten months in shady room and dry place.

Safety Protection:

Weak acid, avoid contact with eye and skin, once contacted, flush with water.

Home  |  About us  |  Product  |  Honors   |  Purchase  |  Contact Us  |  Chinese

ADD: No.1, Shiliquan East Road, Shizhong District, Zaozhuang City, Shandong Province, P.R.China
TEL:+86-632-5113066  FAX:+86-632-5112055     
Copyright (c)2009 Shandong Taihe Chemicals Co., ltd. E-mail:info@thwater.net